
Schnell abnehmen mit der High Speed Diät
Mit der HSD sind 1-2 kg pro Woche Fettabnahme möglich. Schnelle Erfolge ohne Jojo-Effekt und Muskelabbau.
- ✓Klare Anleitung zum schnellen Abnehmen
- ✓3 Trainingspläne (Gym & Home)
- ✓60 HSD-konforme Rezepte inkl.


Insulin ist ein Hormon, das von deiner Bauchspeicheldrüse in großen Mengen ausgeschüttet wird, sobald dein Blutzuckerspiegel ansteigt.
In Muskeln und Fettgewebe fördert Insulin die Aufnahme von Blutzucker 1M. Taniguchi, B. Emanuelli, und C. R. Kahn, „Critical nodes in signalling pathways: insights into insulin action“, Nat. Rev. Mol. Cell Biol., Bd. 7, Nr. 2, S. 85–96, Feb. 2006, doi: 10.1038/nrm1837.2A. C. P. Thirone, C. Huang, und A. Klip, „Tissue-specific roles of IRS proteins in insulin signaling and glucose transport“, Trends Endocrinol. Metab. TEM, Bd. 17, Nr. 2, S. 72–78, März 2006, doi: 10.1016/j.tem.2006.01.005.. Darüber hinaus gibt Insulin das Signal an die Leber, Leberglykogen aufzubauen und damit weniger Zucker ins Blut abzugeben 3Wahren und K. Ekberg, „Splanchnic regulation of glucose production“, Annu. Rev. Nutr., Bd. 27, S. 329–345, 2007, doi: 10.1146/annurev.nutr.27.061406.093806.. Auf diese Weise senkt Insulin den Blutzuckerspiegel.
Insulin hat aber parallel auch Effekte auf dein Fettgewebe:
Der Fall scheint nun klar zu sein: Insulin ist das Problem.
Dies wirkt auf den ersten (!) Blick auch völlig logisch. Schließlich kann man mit hohen Insulinspiegeln kein Fett mobilisieren und die Fetteinlagerung wird begünstigt.
Im Umkehrschluss ergibt es Sinn, dass mit niedrigen Insulinspiegeln die Fettverbrennung auf Hochtouren laufen muss und die Einlagerung von Fett erschwert ist.
Die These hält aber bei genauerer Betrachtung nicht stand.
In der Biomedizin ist es häufig verlockend, einzelne Mechanismen herauszugreifen und mit Behauptungen mit einem Fünkchen Wahrheit zu vermischen … um dann in der Interpretation völlig falsch zu liegen. Der Stoffwechsel ist unfassbar komplex und häufig gibt es doppelt und dreifach abgesicherte Stoffwechselwege für den Körper.
Daher ist es oft schlauer, die konkret messbaren Endpunkte (= Fettabnahme) — also das, was man wirklich erreichen möchten — zu betrachten. Sofern diese gewonnenen Einsichten dann nicht zu der mechanistischen Erklärung passen, sollte man vorsichtig werden. Schauen wir uns die Fettabnahme bzgl. Insulin und Abnehmen an:
Noakes et al 6Noakes, P. R. Foster, J. B. Keogh, A. P. James, J. C. Mamo, und P. M. Clifton, „Comparison of isocaloric very low carbohydrate/high saturate fat and high carbohydrate/low saturated fat diets on body composition and cardiovascular risk“, Nutr. Metab., Bd. 3, S. 7, Jan. 2006, doi: 10.1186/1743-7075-3-7. setzen drei Gruppen jeweils für 8 Wochen auf ein Kaloriendefizit von 30 %. Dabei bekam Gruppe A nur 4% ihrer Ernährung aus Kohlenhydraten und Gruppe B schon 50% und Gruppe C stolze 70%. Während sich der Nüchtern-Insulinspiegel bei Gruppe A um 33 % reduzierte, gab es bei Gruppe C sogar eine Erhöhung der Insulinspiegel um 15 %. Nichtsdestotrotz war die Fettabnahme bei allen Gruppen nach 8 Wochen Diät praktisch gleich (Gruppe 1: -4,5 kg, Gruppe 2: — 4,0 kg, Gruppe 3: -4,4 kg). Sofern das Defizit gleich groß ist, haben unterschiedliche Insulinspiegel mit einer variablen Kohlenhydratzufuhr von 4-70% demnach keinen Einfluss auf die Fettabnahme.
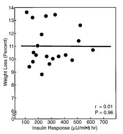
In einer weiteren Studie 7McLaughlin, F. Abbasi, M. Carantoni, P. Schaaf, und G. Reaven, „Differences in insulin resistance do not predict weight loss in response to hypocaloric diets in healthy obese women“, J. Clin. Endocrinol. Metab., Bd. 84, Nr. 2, S. 578–581, Feb. 1999, doi: 10.1210/jcem.84.2.5441. haben stark übergewichtige Frauen mit einer Diät 9,2 kg innerhalb von 60 Tagen abgenommen. Man schaute sich den Zusammenhang der einzelnen Teilnehmerinnen zwischen %Gewichtsverlust und der Gesamtmenge an ausgeschüttetem Insulin an einem Tag von 8-16 Uhr an. Wie in folgender Abbildung zu sehen, konnte man keinen Zusammenhang ausmachen.

Wären die Insulinspiegel entscheidend für das Abnehmen, müsste man hier einen Trend sehen, der niedrige Insulinspiegel mit einer höheren Gewichtsabnahme in Verbindung setzt.
Bei Übergewicht tritt häufig eine sogenannte Insulinresistenz auf. Das bedeutet, der Körper muss viel mehr Insulin ausschütten, um dieselben Effekte bei den Zielzellen auszulösen. Insulinresistente Personen haben daher erhöhte Insulin- und Blutzuckerspiegel.
Luis et al. 8A. de Luis, R. Aller, O. Izaola, M. Gonzalez Sagrado, und R. Conde, „Differences in glycaemic status do not predict weight loss in response to hypocaloric diets in obese patients“, Clin. Nutr. Edinb. Scotl., Bd. 25, Nr. 1, S. 117–122, Feb. 2006, doi: 10.1016/j.clnu.2005.09.009. haben über 70 Probanden über 3 Monate lang abnehmen lassen und dabei zwei Gruppen gebildet. Gruppe 1 hatte eine normale Insulinsensitivität, Gruppe 2 war bereits insulinresistent, mit entsprechend erhöhten Insulin- und Blutzuckerwerten. Sofern Insulin nun wirklich die Fettabnahme blockieren sollte, müsste man bei der insulinresistenten Gruppe ja zumindest eine schlechtere Fettabnahme sehen. Doch das war nicht so. Beide Gruppen nahmen genau gleich gut Fett ab und verloren knapp 4 cm an Bauchumfang.
Der glykämische Index (GI) gibt an, wie viel Blutzucker nach dem Verzehr von 50g Kohlenhydraten eines Lebensmittels innerhalb von 2 h danach ins Blut aufgenommen wird 9F. Brouns u. a., „Glycaemic index methodology“, Nutr. Res. Rev., Bd. 18, Nr. 1, S. 145–171, Juni 2005, doi: 10.1079/NRR2005100.. Der GI eines Lebensmittels hängt eng mit der Insulinantwort zusammen 10S. H. Holt, J. C. Miller, und P. Petocz, „An insulin index of foods: the insulin demand generated by 1000-kJ portions of common foods“, Am. J. Clin. Nutr., Bd. 66, Nr. 5, S. 1264–1276, Nov. 1997.. Je höher der GI, desto größer ist die Insulinausschüttung.
Wenn der Insulin-Effekt einer Diät der entscheidende Faktor für die Gewichtszunahme oder -abnahme wäre, dann würden wir sehen, dass kohlenhydratarme Diäten mit einem niedrigen GI eindeutig Diäten mit einem hohen GI überlegen wären.
Die Mehrheit der Langzeitstudien, die 6 Monate oder länger dauern, zeigen jedoch, dass dies nicht der Fall ist. Der GI macht tatsächlich keinen signifikanten Unterschied beim Gewichts- und/oder Fettverlust11K. Das u. a., „Long-term effects of 2 energy-restricted diets differing in glycemic load on dietary adherence, body composition, and metabolism in CALERIE: a 1-y randomized controlled trial“, Am. J. Clin. Nutr., Bd. 85, Nr. 4, S. 1023–1030, Jan. 2007.12L. M. Aston, C. S. Stokes, und S. A. Jebb, „No effect of a diet with a reduced glycaemic index on satiety, energy intake and body weight in overweight and obese women“, Int. J. Obes. 2005, Bd. 32, Nr. 1, S. 160–165, Jan. 2008, doi: 10.1038/sj.ijo.0803717.13R. Sichieri, A. S. Moura, V. Genelhu, F. Hu, und W. C. Willett, „An 18-mo randomized trial of a low-glycemic-index diet and weight change in Brazilian women“, Am. J. Clin. Nutr., Bd. 86, Nr. 3, S. 707–713, Sep. 2007, doi: 10.1093/ajcn/86.3.707.14A. Raben, „Should obese patients be counselled to follow a low-glycaemic index diet? No“, Obes. Rev. Off. J. Int. Assoc. Study Obes., Bd. 3, Nr. 4, S. 245–256, Nov. 2002, doi: 10.1046/j.1467-789x.2002.00080.x.15S. K. Raatz u. a., „Reduced glycemic index and glycemic load diets do not increase the effects of energy restriction on weight loss and insulin sensitivity in obese men and women“, J. Nutr., Bd. 135, Nr. 10, S. 2387–2391, Okt. 2005, doi: 10.1093/jn/135.10.2387..
Übrigens ist Insulin nicht notwendig, um Fett in die Fettzellen zu bekommen. Isst du eine fettreiche Mahlzeit, wird das Hormon ASP (Acylation stimulating protein) für 3–5 h ausgeschüttet und bringt die aufgenommenen Fettsäuren zuverlässig in deine Fettzellen 16K. Cianflone, M. Maslowska, und A. D. Sniderman, „Acylation stimulating protein (ASP), an adipocyte autocrine: new directions“, Semin. Cell Dev. Biol., Bd. 10, Nr. 1, S. 31–41, Feb. 1999, doi: 10.1006/scdb.1998.0272..
Wenn du also denkst, dass du deinen Körper austricksen kannst, indem du nur Butter isst oder Olivenöl trinkst, weit gefehlt. Auch wenn sich die Insulinspiegel nach diesen „Mahlzeiten“ kaum bewegen werden, werden deine Fettzellen trotzdem gefüllt.
Obwohl es sich intuitiv logisch anhört, dass Insulin ein Problem beim Abnehmen sein sollte, zeigen kontrollierte Untersuchungen aus verschiedenen Richtungen, dass dies beim akuten Abnehmen keine entscheidende Rolle spielt.
Eine mögliche Erklärung: Insulin erreicht 2–3 h nach einer durchschnittlichen Mahlzeit wieder sein Ausgangslevel. Das bedeutet: Über 24 h gibt es viele Stunden, in denen der Insulinspiegel niedrig genug ist (Schlaf, Zeiten zwischen dem Essen), um Fett aus den Fettzellen zu mobilisieren.
Zudem sind die Insulinspiegel nach einer 600 kcal Mahlzeit schneller wieder auf ihrem Ausgangsniveau als nach einer 1000 kcal Mahlzeit. Auf diesem Wege könnte die Kalorienzufuhr maßgeblichen Einfluss auf die Dauer des erhöhten Insulinspiegels haben.
Direkt nach einer Mahlzeit ist ohnehin nie die Zeit, in der du tatsächlich Fett abnimmst. Die Nährstoffe aus der Ernährung strömen schnell ins Blut und müssen erst einmal in Leber, Muskel- und Fettzellen untergebracht werden. Entscheidend bleibt jedoch nicht, was direkt nach einer Mahlzeit geschieht, sondern, ob nach 24 h mehr Fett aus deinen Fettzellen hinaus- oder in deine Fettzellen hinein strömt.
So logisch es sich auch anhört, man müsse zum Abnehmen nur das Insulin niedrig halten, geht diese Theorie bei genauerer Betrachtung nicht wirklich auf.
Science Fitness MAGAZIN · April 2026
Kuratierte Monatsausgabe mit harten Fragen statt Clickbait. Diesen Monat:
Monats- oder Jahresabo · 14 Tage Geld zurück
Blick ins Heft
Alle Leseprobe-SeitenMehr zum Thema Abnehmen.
Du willst mehr? Alle 6 Programme im Komplettpaket — 50% sparen
Drei Programme mit Ernährung, Training und klarem Ablauf.

Mit der HSD sind 1-2 kg pro Woche Fettabnahme möglich. Schnelle Erfolge ohne Jojo-Effekt und Muskelabbau.

Zyklische Diät-Strukturen für 0,3-0,5 kg pro Woche Fettabnahme bei hoher Trainingsleistung.

Mit der BURN & BUILD Rekomposition erreichst du beides auf einmal. Ideal für Anfänger und Wiedereinsteiger.